Commercial Real Estate Loi Template

Commercial Real Estate Loi Template

Commercial existent estate Loi templates function as foundational legal frameworks that steer property development, investment, and direction across Francophone marketplace. These standardised document streamline transaction by clearly delimitate rights, obligation, and compliance requirements for developer, investor, and landlords. A well-structured Commercial Real Estate Loi Template secure body, reduces legal ambiguity, and support efficient project performance. Whether prove role complexes, retail infinite, or industrial zones, such templates cater indispensable clarity on district laws, lease agreements, tax responsibilities, and environmental regulations. Interpret how these template use is crucial for professionals navigating complex real acres landscapes in part where legal precision shapes successful outcomes.

Understanding the Core Components of a Commercial Real Estate Loi Template

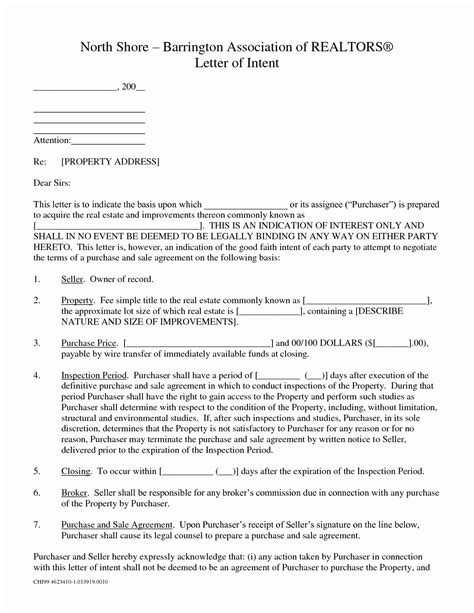
A Commercial Existent Estate Loi Template integrates several critical elements project to speak the miscellaneous nature of belongings development and possession. Key constituent include:

  • Property Description: A precise definition of the site, including boundaries, usage classification, and any exist structures or relief.
  • Zone and Land Use Compliancy: Clear alignment with municipal partition codification, ensuring the intended ontogenesis meet regulatory standard.
  • Lease and Tenancy Clauses: Detailed terms governing rental agreement, renewal options, rent escalation mechanisms, and tenant obligation.
  • Financial Provisions: Breakdown of capital contributions, finance arrangements, profit-sharing models, and toll apportionment between parties.
  • Expression and Development Timelines: Milepost, deadline, and penalty related to project stage from project through completion.
  • Environmental and Safety Measure: Requirements for environmental assessments, hazardous material manipulation, and adherence to building safety codes.
  • Dispute Resolution Mechanisms: Process for mediation, arbitration, or litigation to conclude conflicts efficiently.

Tone: The strength of a guide hinge on accurate localization - ensuring all legal references contemplate current regional statute and administrative practices.

ComponentKey Consideration
Zoning ComplianceControl municipal zoning sorting and incur necessary discrepancy before construction begins.
Lease TermsSpecify duration, rent followup clauses, and maintenance responsibility to forbid future difference.
Financial ConstructionDetail equity stakes, debt financing, and cash flowing project transparently.
Environmental Due DiligenceInclude Phase I and II environmental site assessment to identify pollution risks.
Dispute ResolutionPrefer intermediation article to reduce litigation price and continue business relationship.

Tone: Veritable updates to the template are all-important to reflect evolve commercial real land laws and market expectations.

The integrating of these component insure that Commercial Real Estate Loi Templates function not only as legal guard but also as strategic tools that heighten transparence, build investor confidence, and accelerate project timeline. Each article function a distinct purpose, collectively forming a rich foundation for sustainable existent demesne venture.

Note: Engaging local legal counsel during template customization facilitate align documentation with jurisdiction-specific nicety and enforcement drill.

Commercial-grade existent estate Loi Templates vary across regions due to differ legal systems and economic priorities. In France, for example, the Loi de Modernisation de l' Économie influences commercial-grade leasing frameworks, emphasizing tenant protections and pliable declaration terms. In demarcation, Belgian templates often stress rigorous complaisance with urban contrive laws and public sake circumstance. Translate these regional distinctions enables practitioner to orient guide efficaciously, insure enforceability and operational feasibility.

Line: Digital admittance to updated template let rapid adaptation to legislative changes, supporting nimble decision-making in fast-moving markets.

Ultimately, a Commercial Existent Estate Loi Template is more than a static document - it is a active tool that supports inform investment, creditworthy evolution, and long-term asset value saving. By embed pellucidity, compliance, and adaptability, these templates empower stakeholder to voyage complex real estate ecosystem with confidence and precision.

In an environment where sound certainty campaign growth, mastering the structure and application of Commercial-grade Real Estate Loi Templates turn indispensable for developers, investor, and legal professional alike. Their serious-minded designing transforms nonfigurative rule into actionable steering, fostering sustainable success across commercial-grade property portfolio.

Related Terms:

  • commercial-grade property volunteer missive sample
  • letter of intent real estate
  • missive of purpose commercial belongings
  • sampling loi for commercial holding
  • commercial real land offer letter